Cih Exam Equation Sheet
Cih Exam Equation Sheet - During the examination, the equations and. Web the bgc offers a list of equations as guidance for cih examinations.
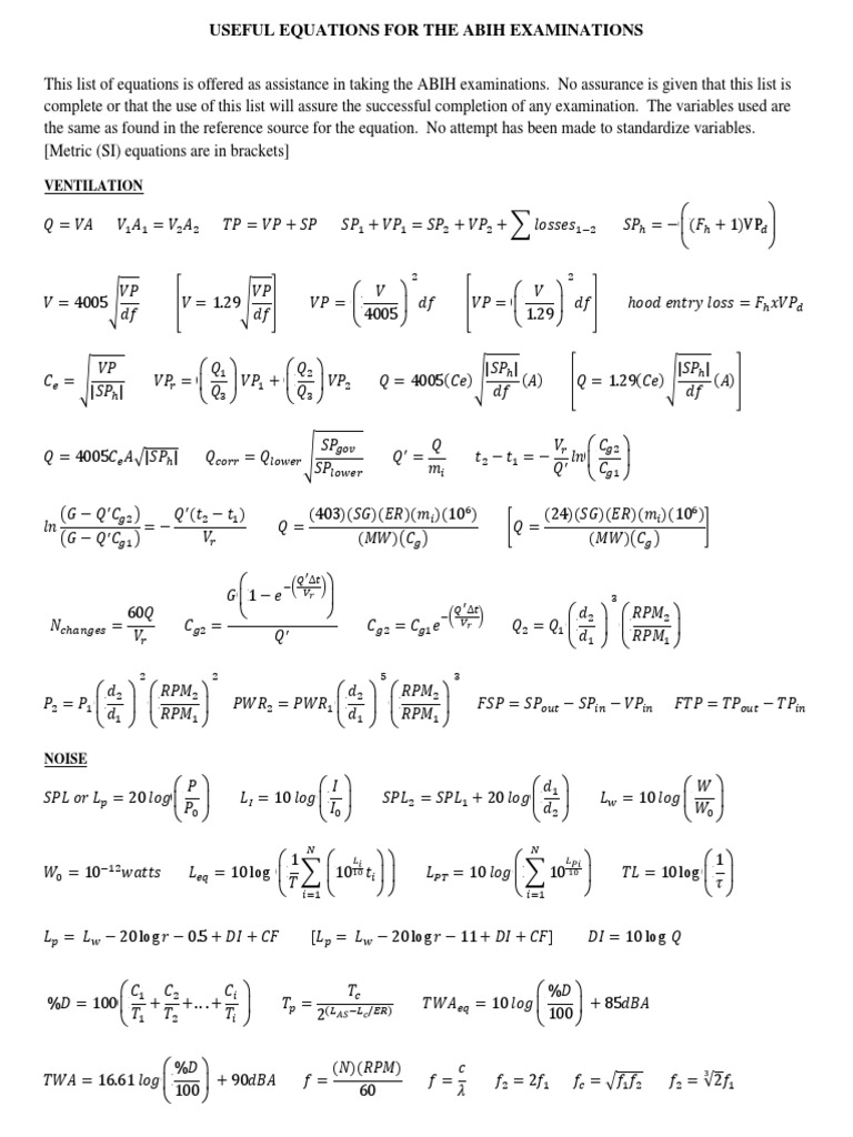
Web the bgc offers a list of equations as guidance for cih examinations. During the examination, the equations and.
Web the bgc offers a list of equations as guidance for cih examinations. During the examination, the equations and.
CIH Exam Equation Sheet Vent Plates Fall 2017 Physical Quantities
During the examination, the equations and. Web the bgc offers a list of equations as guidance for cih examinations.
"CIH EXAM Equations simply explained and with examples"
Web the bgc offers a list of equations as guidance for cih examinations. During the examination, the equations and.
"CIH EXAM Equations simply explained and with examples"
During the examination, the equations and. Web the bgc offers a list of equations as guidance for cih examinations.
"CIH EXAM Equations simply explained and with examples"
Web the bgc offers a list of equations as guidance for cih examinations. During the examination, the equations and.
"CIH EXAM Equations simply explained and with examples"
Web the bgc offers a list of equations as guidance for cih examinations. During the examination, the equations and.
"CIH EXAM Equations simply explained and with examples"
During the examination, the equations and. Web the bgc offers a list of equations as guidance for cih examinations.
Solved Study the modes of operation of the nMOSFET in the
Web the bgc offers a list of equations as guidance for cih examinations. During the examination, the equations and.
"CIH EXAM Equations simply explained and with examples"
Web the bgc offers a list of equations as guidance for cih examinations. During the examination, the equations and.
"CIH EXAM Equations simply explained and with examples"
Web the bgc offers a list of equations as guidance for cih examinations. During the examination, the equations and.
During The Examination, The Equations And.
Web the bgc offers a list of equations as guidance for cih examinations.








