Millimeters To Inches Conversion Chart Printable
Millimeters To Inches Conversion Chart Printable - Web 1 inch = 25.4mm. How to convert inches to millimeters. To convert inches to millimeters multiply your figure by 25.4. One millimeter is equal to 0.03937 inches: Divide 10 millimeters by 25.4 to get inches: The millimeter [mm] to inch [in] conversion table and conversion steps are also listed. You can also get in pdf or in png format, which is lighter, and easier to visualize in smartphones. We’ve created a very useful and free resource for you to download. How many mm in an inch and a half? Also, explore tools to convert millimeter or inch to other length units.
Print a list of inches to millimeters conversions. 1in = 25.4mm/in × 1in = 25.4mm. Also, explore tools to convert millimeter or inch to other length units. Web instant free online tool for millimeter to inch conversion or vice versa. In it, you’ll find inches from 1 to 100 and the equivalent amount in millimeters. Web free printable chart to convert inches to millimeters. Web how many inches in a millimeter. To convert inches to millimeters multiply your figure by 25.4. One inch is equal to 25.4 millimeters: Inches to mm conversion chart in pdf or png.
In it, you’ll find inches from 1 to 100 and the equivalent amount in millimeters. How many millimeters in an inch. To convert inches to millimeters multiply your figure by 25.4. Print a list of inches to millimeters conversions. The millimeter [mm] to inch [in] conversion table and conversion steps are also listed. One inch is equal to 25.4 millimeters: How to convert 10mm to inches. Also, explore tools to convert millimeter or inch to other length units. How many mm in an inch and a half? Web free printable chart to convert inches to millimeters.
Millimeters To Inches Ruler Printable Printable Ruler Actual Size
One millimeter is equal to 0.03937 inches: Web free printable chart to convert inches to millimeters. Divide 10 millimeters by 25.4 to get inches: Should you wish to convert between centimeters and inches, give the cm to inches converter a try. How many millimeters in an inch.
About Conversions [Millimeters + Inches] Simple Artful Stuff
Web 1 inch = 25.4mm. How many mm in an inch and a half? You can also get in pdf or in png format, which is lighter, and easier to visualize in smartphones. Web download the best mm to inches chart for free here. 1 1/2 inches = 38.1 mm.
About Conversions [Millimeters + Inches] Simple Artful Stuff
10mm = 10mm / 25.4mm/in = 0.3937in. Web download the best mm to inches chart for free here. We’ve created a very useful and free resource for you to download. How many millimeters in an inch. One millimeter is equal to 0.03937 inches:
Search Results for “Inches To Mm Chart Printable” Calendar 2015
The chart below shows some example conversions, rounded to a maximum of 4 decimal places. In it, you’ll find inches from 1 to 100 and the equivalent amount in millimeters. 1in = 25.4mm/in × 1in = 25.4mm. Web how many inches in a millimeter. The millimeter [mm] to inch [in] conversion table and conversion steps are also listed.
Inches To Millimeter Conversion Chart WalzCraft
You can also get in pdf or in png format, which is lighter, and easier to visualize in smartphones. Divide 10 millimeters by 25.4 to get inches: How to convert inches to millimeters. 1mm = 1mm / 25.4mm/in = 0.03937in. Web instant free online tool for millimeter to inch conversion or vice versa.
Search Results for “Inch To Decimal Chart” Calendar 2015
How to convert inches to millimeters. 1 1/2 inches = 38.1 mm. Print a list of inches to millimeters conversions. Should you wish to convert between centimeters and inches, give the cm to inches converter a try. 1in = 25.4mm/in × 1in = 25.4mm.
Printable Inches to Millimeters Conversion Chart
Web download the best mm to inches chart for free here. Web free printable chart to convert inches to millimeters. How many mm in an inch and a half? You can also get in pdf or in png format, which is lighter, and easier to visualize in smartphones. 10mm = 10mm / 25.4mm/in = 0.3937in.
Inches tomillimetersconversionchart
One inch is equal to 25.4 millimeters: 10mm = 10mm / 25.4mm/in = 0.3937in. How to convert inches to millimeters. You can also get in pdf or in png format, which is lighter, and easier to visualize in smartphones. Inches to mm conversion chart in pdf or png.
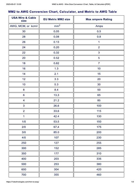
Awg To Mm Conversion Table Pdf
The millimeter [mm] to inch [in] conversion table and conversion steps are also listed. Inches to mm conversion chart in pdf or png. 1in = 25.4mm/in × 1in = 25.4mm. Divide 10 millimeters by 25.4 to get inches: Print a list of inches to millimeters conversions.
Millimeters to Centimeters Conversion (mm to cm)
Should you wish to convert between centimeters and inches, give the cm to inches converter a try. Also, explore tools to convert millimeter or inch to other length units. How to convert 10mm to inches. To convert inches to millimeters multiply your figure by 25.4. Web instant free online tool for millimeter to inch conversion or vice versa.
One Inch Is Equal To 25.4 Millimeters:
10mm = 10mm / 25.4mm/in = 0.3937in. Web how many inches in a millimeter. Should you wish to convert between centimeters and inches, give the cm to inches converter a try. You can also get in pdf or in png format, which is lighter, and easier to visualize in smartphones.
Web Instant Free Online Tool For Millimeter To Inch Conversion Or Vice Versa.
Web download the best mm to inches chart for free here. How to convert inches to millimeters. 1mm = 1mm / 25.4mm/in = 0.03937in. 1in = 25.4mm/in × 1in = 25.4mm.
The Millimeter [Mm] To Inch [In] Conversion Table And Conversion Steps Are Also Listed.
Web free printable chart to convert inches to millimeters. Also, explore tools to convert millimeter or inch to other length units. 1 1/2 inches = 38.1 mm. How to convert 10mm to inches.
How Many Millimeters In An Inch.
The chart below shows some example conversions, rounded to a maximum of 4 decimal places. Web 1 inch = 25.4mm. Print a list of inches to millimeters conversions. To convert inches to millimeters multiply your figure by 25.4.

![About Conversions [Millimeters + Inches] Simple Artful Stuff](https://cdn.shopify.com/s/files/1/0119/7726/1118/files/Conversion_Inches-Mm.jpg?v=1596819321)
![About Conversions [Millimeters + Inches] Simple Artful Stuff](https://cdn.shopify.com/s/files/1/0119/7726/1118/files/MM-Inch_Examples.png?v=1596905714)






